আজকে আমাদের আলোচনার বিষয়ঃ কেন্দ্রীয় প্রবণতা । এটি নবম – দশম শ্রেনী গণিতের পরিসংখ্যান অংশের অন্তর্গত।

কেন্দ্রীয় প্রবণতা (Central Tendency)
৭ম ও ৮ম শ্রেণিতে কেন্দ্রীয় প্রবণতা সমন্ধে আলোচনা করা হয়েছে। অনুসন্ধানাধীন অবিন্যস্ত উপাত্তসমূহ মানের ক্রমানুসারে সাজালে, উপাত্তসমূহ মাঝামাঝি কোনো মানের কাছাকাছি পুঞ্জিভূত হয়। আবার অবিন্যস্ত উপাত্তসমূহ গণসংখ্যা নিবেশন সারণিতে উপস্থাপন করা হলে মাঝামাঝি একটি শ্রেণিতে গণসংখ্যার প্রাচুর্য দেখা যায়। অর্থাৎ, মাঝামাঝি একটি শ্রেণিতে গণসংখ্যা খুব বেশি হয়। বস্তুত উপাত্তসমূহের কেন্দ্রীয় মানের দিকে পুঞ্জিভূত হওয়ার এই প্রবণতাই হলো কেন্দ্রীয় প্রবণতা।
কেন্দ্রীয় মান একটি সংখ্যা এবং এই সংখ্যা উপাত্তসমূহের প্রতিনিধিত্ব করে। এই সংখ্যা দ্বারা কেন্দ্রীয় প্রবণতা পরিমাপ করা হয়। সাধারণত কেন্দ্রীয় প্রবণতার পরিমাপ হলো: (১) গাণিতিক গড় (২) মধ্যক (৩) প্রচুরক।
গাণিতিক গড় (Arithmetic Average or Mean):
আমরা জানি, উপাত্তসমূহের মানের সমষ্টিকে যদি তার সংখ্যা দ্বারা ভাগ করা হয়, তবে উপাত্তসমূহের গড় মান পাওয়া যায়। তবে উপাত্তসমূহের সংখ্যা যদি খুব বেশি হয় তাহলে এ পদ্ধতিতে গড় নির্ণয় করা সময়সাপেক্ষ, বেশ কঠিন ও ভুল হওয়ার সম্ভাবনা থাকে। এ সকল ক্ষেত্রে উপাত্তসমূহ শ্রেণি বিন্যাসের মাধ্যমে সারণিবদ্ধ করে সংক্ষিপ্ত পদ্ধতিতে গড় নির্ণয় করা হয়।

উদাহরণ ৭.
নিচে কোনো একটি শ্রেণির শিক্ষার্থীদের গণিতে প্রাপ্ত নম্বরের গণসংখ্যা নিবেশন সারণি দেওয়া হলো। প্রাপ্ত নম্বরের গাণিতিক গড় নির্ণয় কর।
| শ্রেণী ব্যাপ্তি | 25-34 | 35 – 44 | 45 -54 | 55-64 | 65-74 | 75-84 | 85-94 |
| গণসংখ্যা | 5 | 10 | 15 | 20 | 30 | 16 | 4 |
সমাধান:
এখানে শ্রেণি ব্যাপ্তি দেওয়া আছে বিধায় শিক্ষার্থীদের ব্যক্তিগত নম্বর কত তা জানা যায় না। এ ক্ষেত্রে প্রত্যেক শ্রেণির শ্রেণি মধ্যমান নির্ণয় করার প্রয়োজন হয়।
শ্রেণি মধ্যমান = শ্রেণির ঊর্ধ্বমান + শ্রেণির নিম্নমান /2
যদি শ্রেণি মধ্যমান (i = 1…k) হয় তবে মধ্যমান সংবলিত সারণি হবে নিম্নরূপ:
|
শ্রেণি ব্যাপ্তি |
শ্রেণি মধ্যমান (xi) |
গণসংখ্যা (fi) |
(fixi) |
|
25-34 |
29.5 |
5 |
147.5 |
|
35-44 |
39.5 |
10 |
395 |
|
45-54 |
49.5 |
15 |
742.5 |
|
55-64 |
59.5 |
20 |
1190 |
|
65-74 |
69.5 |
30 |
2085 |
|
75-84 |
79.5 |
16 |
1275 |
|
85-94 |
89.5 |
4 |
358 |
|
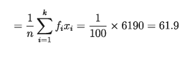
n = 100 |
6190.0 |
নির্ণেয় গাণিতিক গড়

শ্রেণিবিন্যাসকৃত উপাত্তের গাণিতিক গড় (সহজ পদ্ধতি): শ্রেণিবিন্যাসকৃত উপাত্তের গাণিতিক গড় নির্ণয়ের জন্য সংক্ষিপ্ত পদ্ধতি হলো সহজ পদ্ধতি, যাতে গড় নির্ণয়ের ধাপসমূহ নিম্নরূপ:
১. শ্রেণিসমূহের মধ্যমান নির্ণয় করা
২. মধ্যমানসমূহ থেকে সুবিধাজনক কোনো মানকে আনুমানিক গড় (a) ধরা
৩. প্রত্যেক শ্রেণির মধ্যমান থেকে আনুমানিক গড় বিয়োগ করে একে শ্রেণি ব্যাপ্তি দ্বারা ভাগ করে
ধাপ বিচ্যুতি u = 9মধ্যমান – আনুমানিক গড় /ব্যাপ্তি )নির্ণয় করা
৪. ধাপ বিচ্যুতিকে সংশ্লিষ্ট শ্রেণির গণসংখ্যা দ্বারা গুণ করা
৫. বিচ্যুতির গড় নির্ণয় করা এবং এর সাথে আনুমানিক গড় যোগ করে কাঙ্খিত গড় নির্ণয় করা।
সংক্ষিপ্ত পদ্ধতি:
শ্রেণিবিন্যাসকৃত উপাত্তসমূহের গাণিতিক গড়

যেখানে, = নির্ণেয় গড়, a = আনুমানিক গড়, fi = i-তম শ্রেণির গণসংখ্যা, uifi = i-তম শ্রেণির = গণসংখ্যা ধাপ বিচ্যুতি h শ্রেণি ব্যাপ্তি, k = শ্রেণিসংখ্যা, n = মোট গণসংখ্যা ।
উদাহরণ ৮.
কোনো দ্রব্যের উৎপাদনে বিভিন্ন পর্যায়ে যে খরচসমূহ (শত টাকায়) হয় তা নিচের সারণিতে দেখানো হয়েছে। সংক্ষিপ্ত পদ্ধতিতে গড় খরচ নির্ণয় কর।
| উৎপাদন খরচ | 2 – 6 | 6–10 | 10-14 | 14-18 | 18 – 22 | 22-26 | 26-30 | 30 – 34 |
| গণসংখ্যা | 1 | 9 | 21 | 47 | 52 | 36 | 19 | 3 |
সমাধান:
সংক্ষিপ্ত পদ্ধতিতে অনুসৃত ধাপের আলোকে গড় নির্ণয়ের সারণি হবে নিম্নরূপ:
| শ্রেণি ব্যাপ্তি | মধ্যমান,xi | গণসংখ্যা, fi | ধাপ বিচ্যুতি ui = (xi – a)/h | গণসংখ্যা ধাপ বিচ্যুতি fiui |
| 2-6 |
4 |
1 |
-4 |
-4 |
| 6-10 |
8 |
9 |
-3 |
-27 |
| 10-14 |
12 |
21 |
-2 |
-42 |
| 14-18 |
16 |
47 |
-1 |
-47 |
| 18-22 |
20 -a |
52 |
0 |
0 |
| 22-26 |
24 |
36 |
1 |
36 |
| 26-30 |
28 |
19 |
2 |
38 |
| 30-34 |
32 |
3 |
3 |
9 |
| মোট |
188 |
-37 |

.:. উৎপাদনে আনুমানিক গড় খরচ 19 শত টাকা
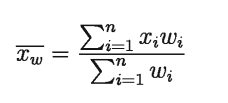
গুরুত্ব যুক্ত উপাত্তের গড় নির্ণয় (Determination of Weighted Average):
অনেক ক্ষেত্রে অনুসন্ধানাধীন পরিসংখ্যানের চলকের সাংখ্যিক মান 1, 2, …, বিভিন্ন কারণ/গুরুত্ব/ভার দ্বারা প্রভাবিত হতে পারে। এ সকল ক্ষেত্রে উপাত্তের মান 1, 2, …, In এর সাথে এদের কারণ/গুরুত্ব/ভার বিবেচনা করে গাণিতিক গড় নির্ণয় করতে হয়। যদি n সংখ্যক W2, উপাত্তের মান 1, 2, Xn হয় এবং এদের গুরুত্ব W1, 2W2, W হয়, তবে এদের গুরুত্ব প্রদত্ত গাণিতিক গড় হবে:

উদাহরণ ৯.
কোনো বিশ্ববিদ্যালয়ের কয়েকটি বিভাগের স্নাতক সম্মান শ্রেণিতে পাশের হার ও শিক্ষার্থীর সংখ্যা নিচের সারণিতে উপস্থাপন করা হলো। উক্ত বিশ্ববিদ্যালয়ের ঐ কয়টি বিভাগের স্নাতক সম্মান শ্রেণিতে পাশের গড় হার নির্ণয় কর।
| বিভাগের নাম |
গণিত |
পরিসংখ্যান |
ইংরেজি |
বাংলা |
প্রাণিবিদ্যা |
রাষ্ট্রবিজ্ঞান |
| পাশের হার (%) |
70 |
80 |
50 |
90 |
60 |
85 |
| শিক্ষার্থীর সংখ্যা |
80 |
120 |
100 |
225 |
135 |
300 |
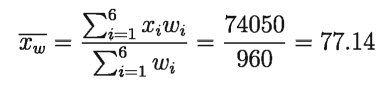
সমাধান:
এখানে পাশের হার ও শিক্ষার্থীর সংখ্যা দেওয়া আছে। পাশের হারের ভার হলো শিক্ষার্থীর সংখ্যা। যদি পাশের হারের চলক x এবং শিক্ষার্থীর সংখ্যা চলক w ধরা হয়, তবে গুরুত্ব প্রদত্ত গাণিতিক গড় নির্ণয়ের সারণি হবে নিম্নরূপ:
|
বিভাগের নাম |
পাশের হার xi |
শিক্ষার্থীর সংখ্যা wi |
xiwi |
|
গণিত |
70 |
80 |
5600 |
|
পরিসংখ্যান |
80 |
120 |
9600 |
|
ইংরেজি |
50 |
100 |
5000 |
|
বাংলা |
90 |
225 |
20250 |
|
প্রাণিবিদ্যা |
60 |
135 |
8100 |
|
রাষ্ট্রবিজ্ঞান |
85 |
300 |
25500 |
|
মোট |
960 |
74050 |

পাশের গড় হার 77.14
মধ্যক (Median):
৮ম শ্রেণিতে আমরা শিখেছি যে, পরিসংখ্যানের উপাত্তগুলো মানের ক্রমানুসারে সাজালে যেসকল উপাত্ত ঠিক মাঝখানে থাকে সেইগুলোর মানই হবে উপাত্তগুলোর মধ্যক। যদি উপাত্তের সংখ্যা n হয় এবং n যদি বিজোড় সংখ্যা হয় তবে মধ্যক হবে (n+1)/2তম পদের মান। আর n যদি জোড় সংখ্যা হয় তবে মধ্যক হবে n/2 ও (n/2 + 1)তম পদ দুইটির সাংখ্যিক মানের গড়। এখানে সূত্র ও ব্যবহার না করে এবং ব্যবহার করে কীভাবে মধ্যক নির্ণয় করা হয় তা উদাহরণের মাধ্যমে উপস্থাপন করা হলো।
উদাহরণ ১০.
নিচের 51 জন শিক্ষার্থীর উচ্চতার গণসংখ্যা নিবেশন সারণি দেওয়া হলো। মধ্যক নির্ণয় কর।
| উচ্চতা (সে.মি.) |
150 |
155 |
160 |
165 |
170 |
175 |
| গণসংখ্যা |
4 |
6 |
12 |
16 |
8 |
5 |
সমাধান:
মধ্যক নির্ণয়ের ক্রমযোজিত গণসংখ্যা সারণি:
| উচ্চতা (সে.মি.) |
150 |
155 |
160 |
165 |
170 |
175 |
| গণসংখ্যা |
4 |
6 |
12 |
16 |
8 |
5 |
| ক্রমযোজিত গণসংখ্যা |
4 |
10 |
22 |
38 |
46 |
51 |
এখানে, n = 51, যা বিজোড় সংখ্যা
মধ্যক = (51 +1)/2 তম পদের মান = 26 তম পদের মান = 165
নির্ণেয় মধ্যক 165 সে.মি.।
লক্ষ করি:
23 থেকে 38 তম পদের মান 165 ।

উদাহরণ ১১.
নিচে 60 জন শিক্ষার্থীর গণিতে প্রাপ্ত নম্বরের গণসংখ্যা নিবেশন সারণি। মধ্যক নির্ণয় কর।
| প্রাপ্ত নম্বর | 40 | 45 | 50 | 55 | 60 | 70 | 80 | 85 | 90 | 95 | 100 |
| গণসংখ্যা | 2 | 4 | 4 | 3 | 7 | 10 | 16 | 6 | 4 | 3 | 1 |
সমাধান:
মধ্যক নির্ণয়ের ক্রমযোজিত গণসংখ্যা সারণি :
| প্রাপ্ত নম্বর | 40 | 45 | 50 | 55 | 60 | 70 | 80 | 85 | 90 | 95 | 100 |
| গণসংখ্যা | 2 | 4 | 4 | 3 | 7 | 10 | 16 | 6 | 4 | 3 | 1 |
| ক্রমযোজিত গণসংখ্যা | 2 | 6 | 10 | 13 | 20 | 30 | 46 | 52 | 56 | 59 | 60 |
এখানে, n = 60, যা জোড় সংখ্যা ।
মধ্যক = 60/2তম পদ + ( 60/2+ 1)তম পদ = (30তম পদ + 31তম পদ)/2 = (70+80)/2 = 75
নির্ণেয় মধ্যক 75।

শ্রেণিবিন্যস্ত উপাত্তের মধ্যক নির্ণয়:
শ্রেণিবিন্যস্ত উপাত্তের সংখ্যা n হলে, n/2 তম পদের মান হচ্ছে মধ্যক। আর n/2 তম পদের মান বা মধ্যক নির্ণয়ে ব্যবহৃত সূত্র হলো মধ্যক = L+ (n/2-Fc) x h/fm, যেখানে L হলো যে শ্রেণিতে মধ্যক অবস্থিত সেই শ্রেণির নিম্নসীমা, n গণসংখ্যা, Fc মধ্যক শ্রেণির পূর্ববর্তী শ্রেণির যোজিত গণসংখ্যা, fm মধ্যক শ্রেণির গণসংখ্যা এবং h শ্রেণি ব্যাপ্তি।
উদাহরণ ১২.
নিচে একটি গণসংখ্যা নিবেশন সারণি দেওয়া আছে।
|
সময় (সেকেণ্ড) |
30 – 35 |
36 – 41 |
42 – 47 |
48 – 53 |
54 – 59 |
60 – 65 |
|
গণসংখ্যা |
3 |
10 |
18 |
25 |
8 |
6 |
ক) গণসংখ্যা নিবেশন সারণি বলতে কী বুঝ?
খ) উপরের গণসংখ্যা সারণি থেকে মধ্যক নির্ণয় কর।
গ) তারপর সারণিতে প্রদত্ত উপাত্তের বহুভুজ অঙ্কন কর।
সমাধান :
ক) প্রদত্ত উপাত্তসমূহকে নির্দিষ্ট শ্রেণি ব্যবধান ও শ্রেণি সংখ্যা নির্ধারণের মাধ্যমে বিন্যস্ত ও সারণিভুক্ত করাকে গণসংখ্যা সারণি বলে।
খ) মধ্যক নির্ণয়ের জন্য গণসংখ্যা নিবেশন সারণি :
|
শ্রেণি ব্যাপ্তি |
গণসংখ্যা |
ক্রমযোজিত গণসংখ্যা |
|
30-35 |
3 |
3 |
|
36-41 |
10 |
13 |
|
42-47 |
18 |
31 |
|
48-53 |
25 |
56 |
|
54-59 |
8 |
64 |
|
60-65 |
6 |
70 |
|
n = 70 |
এখানে, n = 70 এবং n/2 = 70/2 বা 35
অতএব, মধ্যক 35 তম পদ যার অবস্থান 48 – 53 শ্রেণিতে। অতএব মধ্যক শ্রেণি 48 – 53।
সুতরাং L = 48, Fc = 31 fm = 25 এবং h = 6।
কাজেই মধ্যক = 48 + ( 35 – 31 ) x 6/25 == 48+ 4 x 6/25 = 48 + 0.96 = 48.96
নির্ণেয় মধ্যক 48.96
গ) বহুভুজ অঙ্কনের জন্য সারণি: প্রথম শ্রেণির পূর্বের শ্রেণির মধ্যমান 26.5 এবং শেষ শ্রেণির পরে শ্রেণির মধ্যমান 68.5। এবার X অক্ষ বরাবর শ্রেণির মধ্যমান সুবিধাজনক এককে নিয়ে যেখানে → (ছেদ) চিহ্নটি 0 থেকে 26.5 বুঝায় এবং y অক্ষ বরাবর গণসংখ্যা প্রতি ক্ষুদ্রতম বর্গের বাহুর দৈর্ঘ্যকে 2 ধরে গণসংখ্যা বহুভুজ অঙ্কন করা হলো।
|
শ্রেণি ব্যাপ্তি |
শ্রেণির মধ্যমান |
গণসংখ্যা |
|
30-35 |
32.5 |
3 |
|
36-41 |
38.5 |
10 |
|
42-47 |
44.5 |
18 |
|
48-53 |
50.5 |
25 |
|
54-59 |
56.5 |
8 |
|
60-65 |
62.5 |
10 |

প্রচুরক (Mode):
৮ম শ্রেণিতে আমরা শিখেছি যে, কোনো উপাত্তে যে সংখ্যা সর্বাধিক বার উপস্থাপিত হয়, সেই সংখ্যাই উপাত্তের প্রচুরক। একটি উপাত্তের এক বা একাধিক প্রচুরক থাকতে পারে। কোন উপাত্তে যদি কোন সংখ্যাই একাধিকবার না থাকে তবে সেই উপাত্তে কোন প্রচুরক নেই। এখানে সূত্র ব্যবহার করে কীভাবে শ্রেণিবিন্যস্ত উপাত্তের প্রচুরক নির্ণয় করতে হয় তাই আলোচনা করা হলো।
শ্রেণিবিন্যস্ত উপাত্তের প্রচুরক নির্ণয়: প্রচুরক = L+ f1/(f1 + f2) x h, যেখানে
L প্রচুরক শ্রেণির অর্থাৎ যে শ্রেণিতে প্রচুরক অবস্থিত তার নিম্নমান
f1 = প্রচুরক শ্রেণির গণসংখ্যা – পূর্ববর্তী শ্রেণির গণসংখ্যা
f2 = প্রচুরক শ্রেণির গণসংখ্যা – পরবর্তী শ্রেণির গণসংখ্যা এবং h হলো শ্রেণি ব্যাপ্তি
উদাহরণ ১৩.
নিচের সারণিটি লক্ষ কর।
|
শ্রেণি ব্যাপ্তি |
31-40 |
41-50 |
51-60 |
61-70 |
71-80 |
81-90 |
91-100 |
|
গণসংখ্যা |
4 |
6 |
8 |
12 |
9 |
7 |
4 |
ক) কেন্দ্রীয় প্রবণতা কী?
খ) প্রদত্ত সারণি থেকে প্রচুরক নির্ণয় কর।
গ) উপাত্তের অজিভ রেখা অঙ্কন কর।
সমাধান :
ক) অবিন্যস্ত উপাত্তসমূহ মানের ক্রমানুসারে সাজালে, উপাত্তসমূহ মাঝামাঝি কোনো মানের কাছাকাছি পুঞ্জিভূত হয়। আবার উপাত্তসমূহ গণসংখ্যা নিবেশন সারণিতে উপস্থাপন করা হলে কোনো একটি শ্রেণিতে গণসংখ্যার প্রাচুর্য দেখা যায়। উপাত্তসমূহের কেন্দ্রীয় মানের দিকে পুঞ্জিভূত হওয়ার এই প্রবণতাকে কেন্দ্রীয় প্রবণতা বলে।
খ) প্রচুরক নির্ণয়ের সারণি:
|
শ্রেণি |
31-40 |
41-50 |
51-60 |
61-70 |
71-80 |
81-90 |
91-100 |
|
গণসংখ্যা |
4 |
6 |
8 |
12 |
9 |
7 |
4 |
প্রচুরক = L+ f1/(f1 + f2) x h
এখানে, গণসংখ্যা সর্বাধিক 12 আছে 61 – 70 শ্রেণিতে।
সুতরাং L = 61, f1 = 12 – 8 = 4, f2 = 12 – 9 = 3, h = 10
প্রচুরক = 61 + 4/(4+3) × 10 = 61 + 4/7 × 10 = 61 + 40/7 = 61 + 5.7 = 66.7
নির্ণেয় প্রচুরক 66.7
গ) অজিভ রেখা অঙ্কনের জন্য সারণি:
|
শ্রেণি |
অবিচ্ছিন্ন শ্রেণি ব্যাপ্তি |
গণসংখ্যা |
ক্রমযোজিত গণসংখ্যা |
|
31 – 40 |
30 – 40 |
4 |
4 |
|
41 – 50 |
40-50 |
6 |
10 |
|
51 – 60 |
50 – 60 |
8 |
18 |
|
61 – 70 |
60-70 |
12 |
30 |
|
71 – 80 |
70 – 80 |
9 |
39 |
|
81-90 |
80-90 |
7 |
46 |
|
91-100 |
90-100 |
4 |
50 |
X অক্ষ বরাবর অবিচ্ছিন্ন শ্রেণি ব্যাপ্তি সুবিধাজনক একক নিয়ে যেখানে / (ছেদ) চিহ্নটি 0 থেকে 30 বুঝায় এবং y অক্ষ বরাবর ক্রমযোজিত গণসংখ্যা ক্ষুদ্রতম বর্গের প্রতি বাহুর দৈর্ঘকে 5 একক ধরে শ্রেণির উর্ধ্বসীমা বরাবর বিন্দুগুলো চিহ্নিত করি। অতপর: X অক্ষে 30 থেকে চিহ্নিত বিন্দুগুলো সাবলীলভাবে যোগ করি। এটিই নির্ণেয় অজিভ রেখা।

উদাহরণ ১৪.
নিচের গণসংখ্যা নিবেশন সারনি থেকে প্রচুরক নির্ণয় কর:
|
শ্রেণি |
41-50 |
51-60 |
61-70 |
71-80 |
|
গণসংখ্যা |
25 |
20 |
15 |
8 |
সমাধান:
এখানে গণসংখ্যা সর্বাধিক 25 বার আছে (41 – 50 ) শ্রেণিতে। সুতরাং, প্রচুরক এই শ্রেণিতে আছে।
আমরা জানি প্রচুরক = L + f1/(f1 + f2) × h। এখানে, L = 41, f1 = 25 – 0 = 25, f2 = 25 – 20 = 5 কারণ প্রথম শ্রেণিতে গণসংখ্যা বেশি হলে, পূর্ববর্তী শ্রেণির গণসংখ্যা শূন্য।
প্রচুরক = 41 + 25/(25 +5 ) × 10 = 41 + (25/30) × 10 = 41 +8.33 = 49.33
নির্ণেয় প্রচুরক 49.33
উদাহরণ ১৫.
নিচের গণসংখ্যা নিবেশন সারনি থেকে প্রচুরক নির্ণয় কর:
|
শ্রেণি |
11-20 |
21-30 |
31-40 |
41-50 |
|
গণসংখ্যা |
4 |
16 |
20 |
25 |
সমাধান:
এখানে গণসংখ্যা সর্বাধিক 25 বার আছে (41 – 50) শ্রেণিতে। এই শ্রেণিতে প্রচুরক বিদ্যমান।
আমরা জানি প্রচুরক = L + f1/(f1 + f2) × h
এখানে, L = 41, f1 = 25 – 20 = 5, f2= 25 – 0 = 25, h = 10 কারণ শেষ শ্রেণি প্রচুরক শ্রেণি হলে, পরবর্তী শ্রেণির ঘটন সংখ্যা শূন্য ধরা হয়।
প্রচুরক = 41 + 5/(25+ 5) × 10 = 41 + 5/30 × 10 = 41 + 5/3 = 41 + 1.67 = 42.67
নির্ণেয় প্রচুরক 42.67 (প্রায়)।